Hanah
Follow
0
Followers
0
Followings
Patron
Home
Archives
llm
Latest
Hottest
Most Commented
Word Vectors
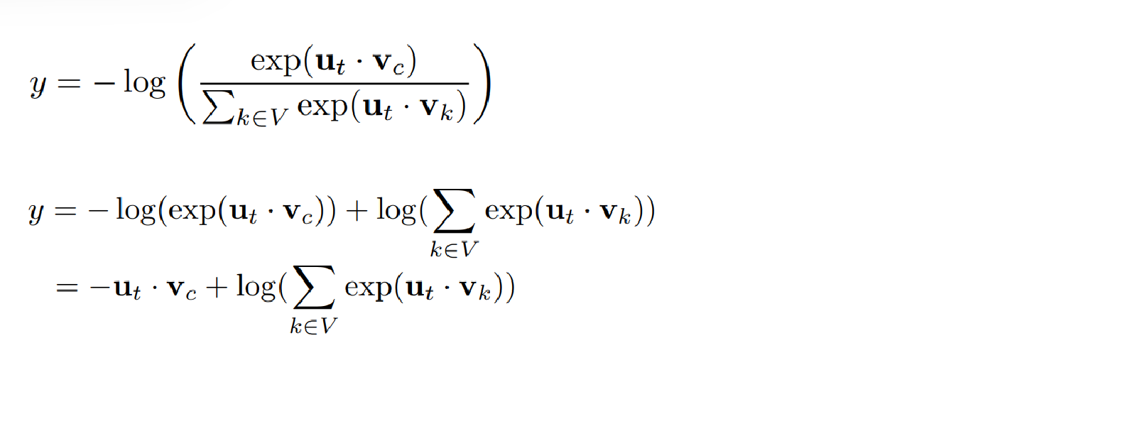
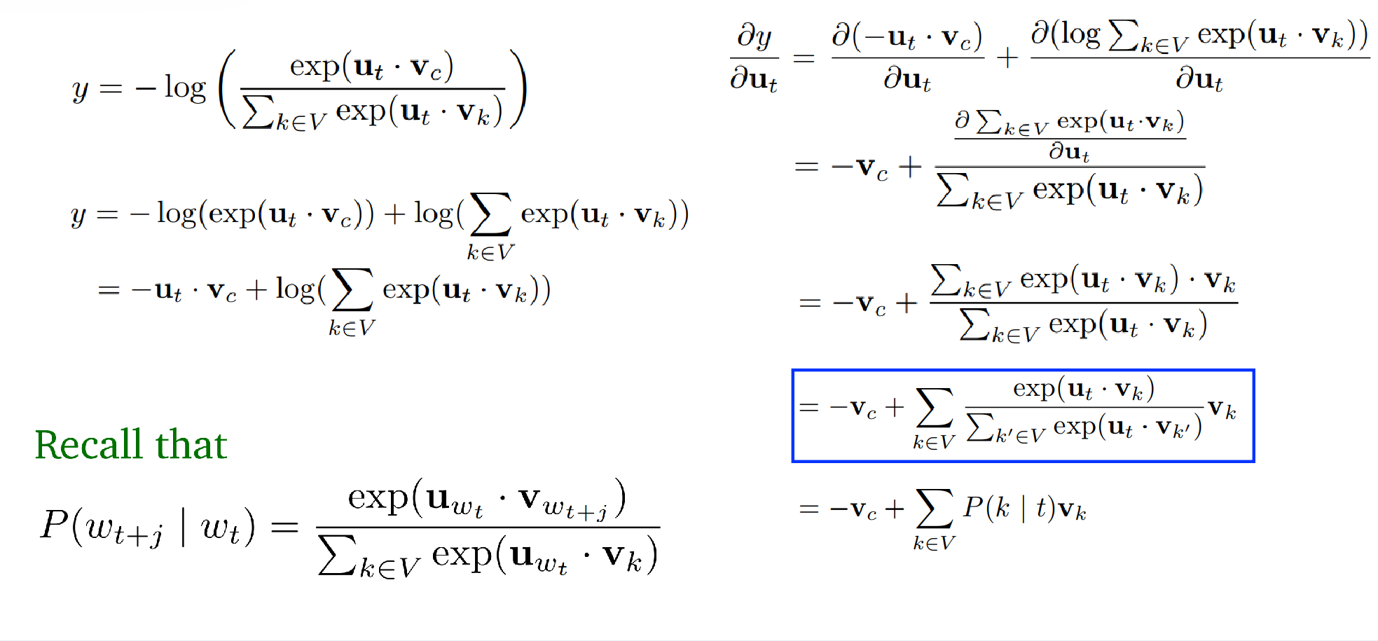
课堂笔记 How do we represent words in NLP models? N-gram 定义:n-gram 是指从给定的文本或语音序列中连续取出的 n 个元素的序列。在自然语言处理领域,这些元素通常是单词。n-gram 模型是一种概率语言模型…
llm
19 min
10 months ago
Ownership of this blog data is guaranteed by blockchain and smart contracts to the creator alone.
Blockchain ID
#74565
Owner
0xb352f7d08316187ea5612254ddc78ac520a67c6d
Transaction Hash
Creation 0x0e063add...b9ad6e151f
Last Update 0x0e063add...b9ad6e151f
IPFS Address
ipfs://QmNy4DCPXRZZFm2UQuHFu7NxKyocZ2ByMJSkp5tyoonSew